本文へスキップ

ーー     \(^▽^)/

この ページ は 現在 2% クオリティyone12053.zouri.ne.jp

〒1v3-0vv0 東v都○○区○○○1-v-3

いちピコリットルのなみだ

エクセル で きゅう げんかく を おこないます



つぎ の E つ の てじゅん で どなたでも カンタン に きゅう げんかく を けいさん できます。






 









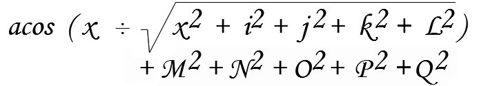
___



@ うえ の 表 を クリック します


A「 ダウンロード 」します


B「 開 く 」を おします


C D9 に にんしき  じつ エネルギー を いれます


D F9 から L12 に もうてん エネルギー を 9 かしょ いれます


E G16 に チョモアーク 10 D の みひらき カクド が でてきます













XLSX

きゅう げんかく
 
( 98 KB ) 




   ∠2げんかく  ∠3げんかく  ∠4げんかく  ∠5げんかく  ∠6げんかく 

   ∠2げんかく ・ ∠2めんかく ・ ∠2えんかく ・ ∠2りんかく
   ∠2てんかく ・ ∠2もんかく ・ ∠2みんかく ・ ∠2うんかく

   も あるので よかったら ためしてみてください。




\(^▽^)/