ごげんかく れい
こちら ごげんかく ( エクセル ) の さんこうれい に なります。
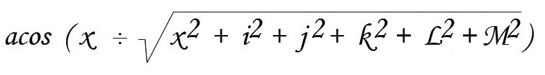
X |
i | j | k | L | M | ∠カクド | X2 | |
| 100 | 100 | 100 | 100 | 100 | 100 | 65.91 ど | 10000 | |
| 129.099 | 100 | 100 | 100 | 100 | 100 | 60 ど | 16666 | |
| 200 | 100 | 100 | 100 | 100 | 100 | 48.19 ど | 40000 | |
| 223.607 | 100 | 100 | 100 | 100 | 100 | 45 ど | 50000 | |
| 387.298 | 100 | 100 | 100 | 100 | 100 | 30 ど | 150000 |
いちばん みぎ の れつ は いちばん ひだりの
れつ ( X ) を 2かい かけたものに なります。
たとえば 、200 なら 40000 に なります。
( るーと 40000 → 200 )。
あおもじ の かくど には リンク が はられています。
X |
i | j | k | L | M | ∠カクド | X2 | |
| 1 | 1 | 1 | 1 | 1 | 1 | 65.91 ど | 1 | |
| 1.29099 | 1 | 1 | 1 | 1 | 1 | 60 ど | 1.6666 | |
| 200 | 1 | 1 | 1 | 1 | 1 | 48.19 ど | 4 | |
| 2.23607 | 1 | 1 | 1 | 1 | 1 | 45 ど | 5 | |
| 3.87298 | 1 | 1 | 1 | 1 | 1 | 30 ど | 15 |
〒1v3-0vv0
東v都○○区○○○1-v-3
TEL yone12053.zouri.ne.jp
FAX 03-1vv4-0001
