本文へスキップ

ーー      \(^▽^)/

この ページ は 現在 2% クオリティyone12053.zouri.ne.jp

〒1v3-0vv0 東v都○○区○○○1-v-3

いちピコリットルのなみだ

エクセル で ろく げんかく を おこないます



 つぎ の E つ の てじゅん で どなたでも カンタン に ろく げんかく を けいさん できます。






 











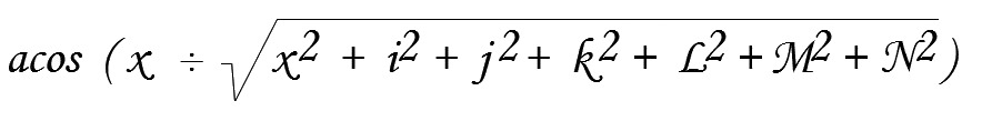
___



@ うえ の 表 を クリック します


A「 ダウンロード 」します


B「 開 く 」を おします


C D7 に にんしき  じつ エネルギー を いれます


D H7 から P9 に もうてん エネルギー を 6 かしょ いれます


E D21 に ∠ チョモアーク 7D みひらき カクド が でてきます
















XLSX

ろく げんかく
 
( 149 KB ) 




   ∠2げんかく    ∠3げんかく    ∠4げんかく    ∠5げんかく

   ∠2げんかく ・ ∠2めんかく ・ ∠2えんかく ・ ∠2りんかく
   ∠2てんかく ・ ∠2もんかく ・ ∠2みんかく ・ ∠2うんかく

   も あるので よかったら ためしてみてください。




\(^▽^)/