エクセル で じゅうきゅう げんかく を おこないます
つぎ の
E つ の てじゅん で どなたでも カンタン に
十九 幻角 を けいさん できます。


___ |
@ うえ の 表 を クリック します
A「 ダウンロード 」します
B「 開 く 」を おします
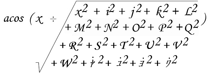
C D7 に にんしき じつ エネルギー を いれます
D F7 から L13 に もうてん エネルギー を 19 かしょいれます
E G15 に チョモアーク 20 D の みひらき カクド が でてきます
|
ファイル 形 式
ダウンロード は ふたつ の ファイル けいしき が あります。
19げんかく の うち 16げんめ いこう に きょすう きごう に なる
アルファベット が つきて しまいました。
それに ともない アルファベット → カナ に きりかえていくこと に しました。
m(_ _)m
そのさい きぞん の もじと みわける ために もじ の うえ に
「・」 マーク を つけることに してみます。
れい ) 「 ヤ 」 → 「
ヤ 」
きょすうきごう の 「
ヤ ( きょ
やん ) 」 から はじまり
きょすうきごう の 「
ユ ( きょ
ゆん ) 」
きょすうきごう の 「
ヨ ( きょ
よん ) 」
きょすうきごう の 「
ワ ( きょ
わん ) 」 と つづいて いきます。
この しょしき せってい の ほぞん において
ODF けいしき では うまく ぼうてん 「 ・」 が ほぞん できています が ↓
EXCEL けいしき では うまく ぼうてん 「 ・」 が ほぞん できていません ↓
という リユウ により 、
これまで 1 〜 9幻角 までは
EXCEL けいしき でしたが
19幻角 では
ODF けいしき を メイン で あつかいます。
けいさん そのもの は どちらの けいしき でも まったく
おなじ ∠ けっか になります。
m(_ _)m
ちなみに この がぞう にある 22.94 という あたい は
じつエネ だけ
100 で
のこり 19こ の きょぶ を 22.94 で そろえた ときに
19げんかく が ∠ 45ど に なる
という サンプル の きりぬき に なっています。
そのほか
∠2げんかく ∠3げんかく ∠4げんかく ∠5げんかく ∠6げんかく
∠2げんかく ・ ∠2めんかく ・ ∠2えんかく ・ ∠2りんかく
∠2てんかく ・ ∠2もんかく ・ ∠2みんかく ・ ∠2うんかく
も あるので よかったら ためしてみてください。
\(^▽^)/