よんげんかく れい
こちら よんげんかく ( エクセル ) の さんこうれい に なります。
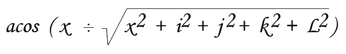
X |
i | j | k | L | ∠カクド | X2 | |
| 100 | 100 | 100 | 100 | 100 | 63.43 ど | 10000 | |
| 115.47 | 100 | 100 | 100 | 100 | 60 ど | 13333 | |
| 200 | 100 | 100 | 100 | 100 | 45 ど | 40000 | |
| 223.61 | 100 | 100 | 100 | 100 | 41.81 ど | 50000 | |
| 346.41 | 100 | 100 | 100 | 100 | 30 ど | 120000 |
いちばん みぎ の れつ は いちばん ひだりの
れつ ( X ) を 2かい かけたものに なります。
たとえば 、200 なら 40000 に なります。
( るーと 40000 → 200 )。
あおもじ の かくど には リンク が はられています。
X |
i | j | k | L | ∠カクド | X2 | |
| 1 | 1 | 1 | 1 | 1 | 63.43 ど | 1 | |
| 1.1547 | 1 | 1 | 1 | 1 | 60 ど | 1.3333 | |
| 2 | 1 | 1 | 1 | 1 | 45 ど | 4 | |
| 2.2361 | 1 | 1 | 1 | 1 | 41.81 ど | 5 | |
| 3.4641 | 1 | 1 | 1 | 1 | 30 ど | 12 |
〒1v3-0vv0
東v都○○区○○○1-v-3
TEL yone12053.zouri.ne.jp
FAX 03-1vv4-0001
