さんげんかく れい
こちら さんげんかく ( エクセル ) の さんこうれい に なります。
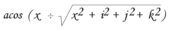
X |
i | j | k | ∠カクド | X2 | |
| 86.60 | 100 | 100 | 100 | 63.43 ど | 7500 | |
| 100 | 100 | 100 | 100 | 60 ど | 10000 | |
| 173.21 | 100 | 100 | 100 | 45 ど | 30000 | |
| 200 | 100 | 100 | 100 | 40.89 ど | 40000 | |
| 300 | 100 | 100 | 100 | 30 ど | 90000 |
いちばん みぎ の れつ は いちばん ひだりの
れつ ( X ) を 2かい かけたものに なります。
たとえば 、200 なら 40000 に なります。
( るーと 40000 → 200 )。
あおもじ の かくど には リンク が はられています。
X |
i | j | k | ∠カクド | X2 | |
| 0.866 | 1 | 1 | 1 | 63.43 ど | 0.75 | |
| 1 | 1 | 1 | 1 | 60 ど | 1 | |
| 1.732 | 1 | 1 | 1 | 45 ど | 3 | |
| 2 | 1 | 1 | 1 | 40.89 ど | 4 | |
| 3 | 1 | 1 | 1 | 30 ど | 9 | |
| ---- | ---- | ---- | ---- --- |
〒1v3-0vv0
東v都○○区○○○1-v-3
TEL yone12053.zouri.ne.jp
FAX 03-1vv4-0001
